آزمون آنلاین فصل 4 ریاضی هشتم

گزینه صحیح آزمون فصل 4 ریاضی هشتم را انتخاب کنید!

1 سوال 1

ساده شد ه ي عبارت زیر کدام است؟ a(a−b)+b(a−b)+1 =

1

a^2+1+b^2

2

a^2+b^2

3

b^2-a^2

4

a^2+1-b^2

2 سوال 2

.

1

-1/2

2

1/2

3

2

4

1

3 سوال 3

عبارتx^2-10x+21 با کدام گزینه مساوی است؟

1

(x-3)(x-7)

2

(x−3)(x+7)

3

(x+3)(x+7)

4

(x+3)(x−7)

4 سوال 4

یک دایره به شعاع r داریم. نسبت مساحت به محیط آن کدام گزینه است؟

1

2r

2

r/2

3

πr

4

πr/2

5 سوال 5

كدام يك از تساوي هاي زير اتحاد است؟

1

2x=2

2

X+x=2x

3

√(x^2 )=x

4

X+1=2

6 سوال 6

پدری 38 سال دارد.3 فرزند او 8، 10 و 12 ساله اند.پس از چند سال سن پدر نصف مجموع سن فرزندانش میشود؟

1

20 سال

2

32 سال

3

46 سال

4

50 سال

7 سوال 7

لاله به دوستش گفت: سن پدرش هنگام تولد او28 سال بوده است و حالا سن پدرش سه برابر سن اوست. لاله چند سال دارد؟

1

42

2

24

3

14

4

7

8 سوال 8

اگر نسبت 2x-y به x+y برابر 2/3 باشد،نسبت xبه y چه قدر است؟

1

4/5

2

1

3

6/5

4

5/4

9 سوال 9

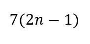
کدام گزینه نشان دهندة جملۀ nام الگوي زیر نیست؟

1

7,15,23,31,…

2

8n−1

3

16n/2-1^8

4

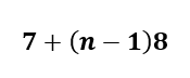
7+(n-1)8

10 سوال 10

در یک ساختمان اداري تعدادي اتاق است. به تعداد اتا قها، در هر اتاق قفسه وجود دارد. در هر قفسه به تعداد اتا قها، پوشه و در هر پوشه به تعداد اتا قها برگه قرار دارد. اگر تعداد برگه ها 〖16〗^2×9^2

1

81

2

127

3

32

4

12

ارزیابی آزمون