آزمون آنلاین فصل 1 ریاضی یازدهم تجربی

گزینه صحیح آزمون فصل 1 ریاضی یازدهم تجربی را انتخاب کنید!

1 سوال 1

در شکل زیر Ax نیمساززاویه Cay وAX∥BC است.اگر BO وco نیم ساز زوایای Bو C باشند و B=75 ،اندازه BOC چند درجه است؟

1

95

2

100

3

105

4

110

2 سوال 2

محل برخورد قطرهای یک مربع،مرکز دایره ای به شعاع 4 است.اگر طول قطر مربع 8 واحد باشد،دایره و مربع در چند نقطه با یکدیگر برخوردارند؟

1

8

2

4

3

2

4

صفر

3 سوال 3

تانژانت زاویه بین نیمساز دوم و خط به معادله 2y+x=1 کدام است؟

1

1/3

2

1/2

3

2

4

3

4 سوال 4

در مثلث ABC که A(3,-1) و B(5,3) و C(-1,5) میباشد، اندازه میانه وارد بر ضلع AB کدام است؟

1

√39

2

√40

3

√41

4

√43

5 سوال 5

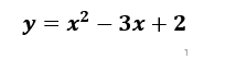
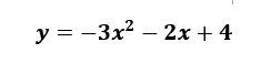
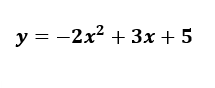
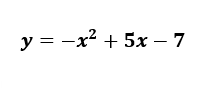
ضابطه ی تابع f با نمودار مقابل،مطابق کدام گزینه میتواند باشد؟

1

2

3

4

6 سوال 6

دو ضلع یک مستطیل منطیق بر دو خط به معادلات 2y+x=6 و2x-y=7 و یک راس ان نقطه A(8,5) است.مساحت این مستطیل کدام است؟

1

7.2

2

9.6

3

11.4

4

12.8

7 سوال 7

در مثلث ABC که A(3,-1) و B(5,3) و C(-1,5) میباشد، اندازه میانه وارد بر ضلع AB کدام است؟

1

√39

2

√40

3

√41

4

√43

8 سوال 8

در شکل زیر اگرAM/MB=2/3 ،مساحت مربع MNPQ چند درصد مساحت مثلث ABC است؟

1

36

2

48

3

64

4

54

9 سوال 9

نقطه A(7,6) راس یک متوازی الاضلاع است که دو ضلع ان منطبق بر دو خط به معادلات 2y-3x=11 و3y+4x=8 میباشد.مختصات وسط قطر ان کدام است؟

1

(1,5)

2

(3,4)

3

(3,5)

4

(4,3)

10 سوال 10

کمترین مقدار عبارت Y=x^2-x+2 کدام است؟

1

1/4

2

3/4

3

5/4

4

7/4

ارزیابی آزمون

Ad image

20 رو بغل کن!

جمع‌بندی شب امتحان همه پایه‌ها در فیلیمومدرسه